数二强化
跨考一下,不想继续本科专业了,换个专业学学。
记忆内容
一些积分的奇技淫巧:
区间再现(或称 “区间不变”):
线性代数:
设直线 L 的方程为 Ax+By+C=0 ,点 P 的坐标为(x0,y0),则点 P 到直线 L 的距离就是:
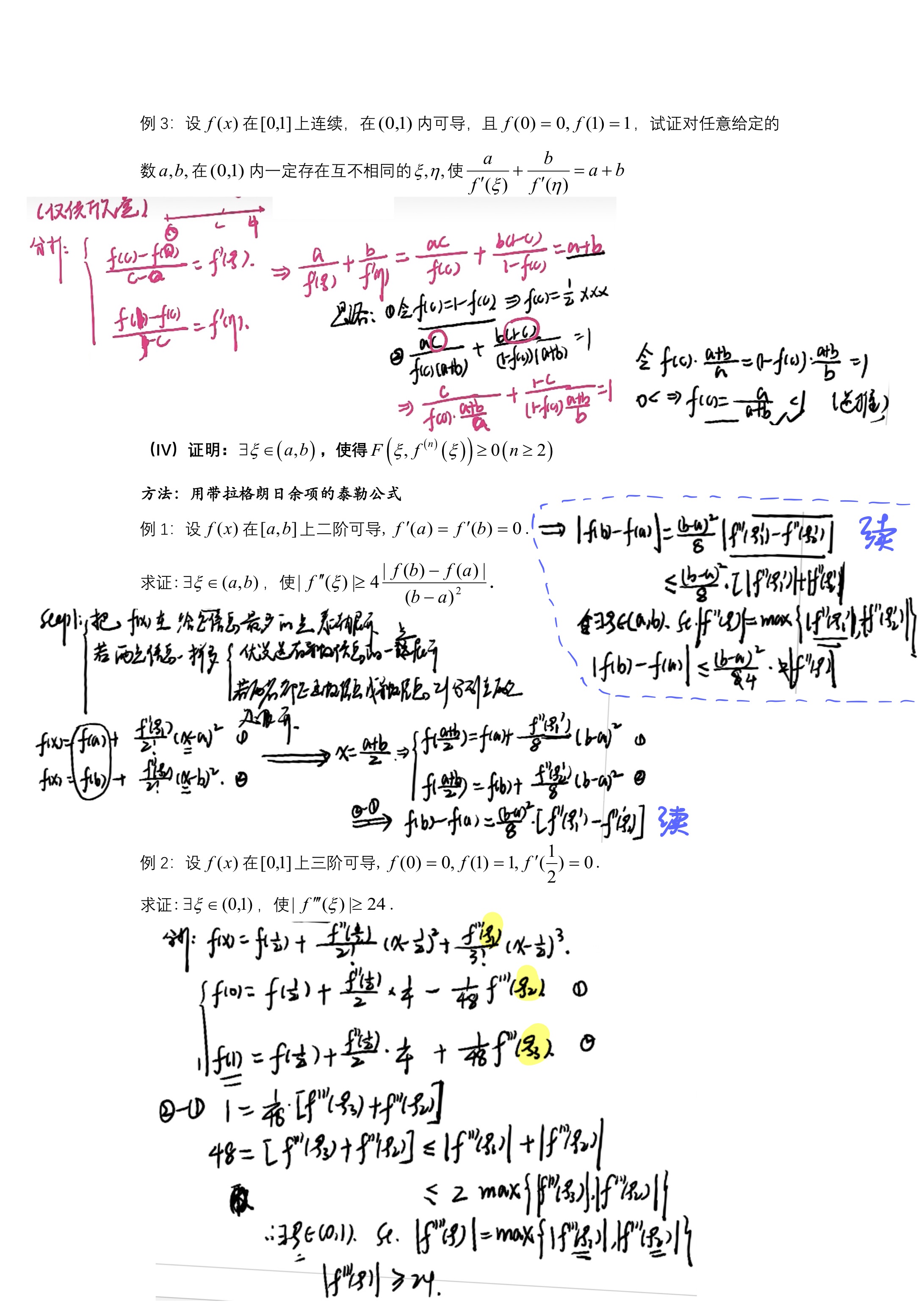
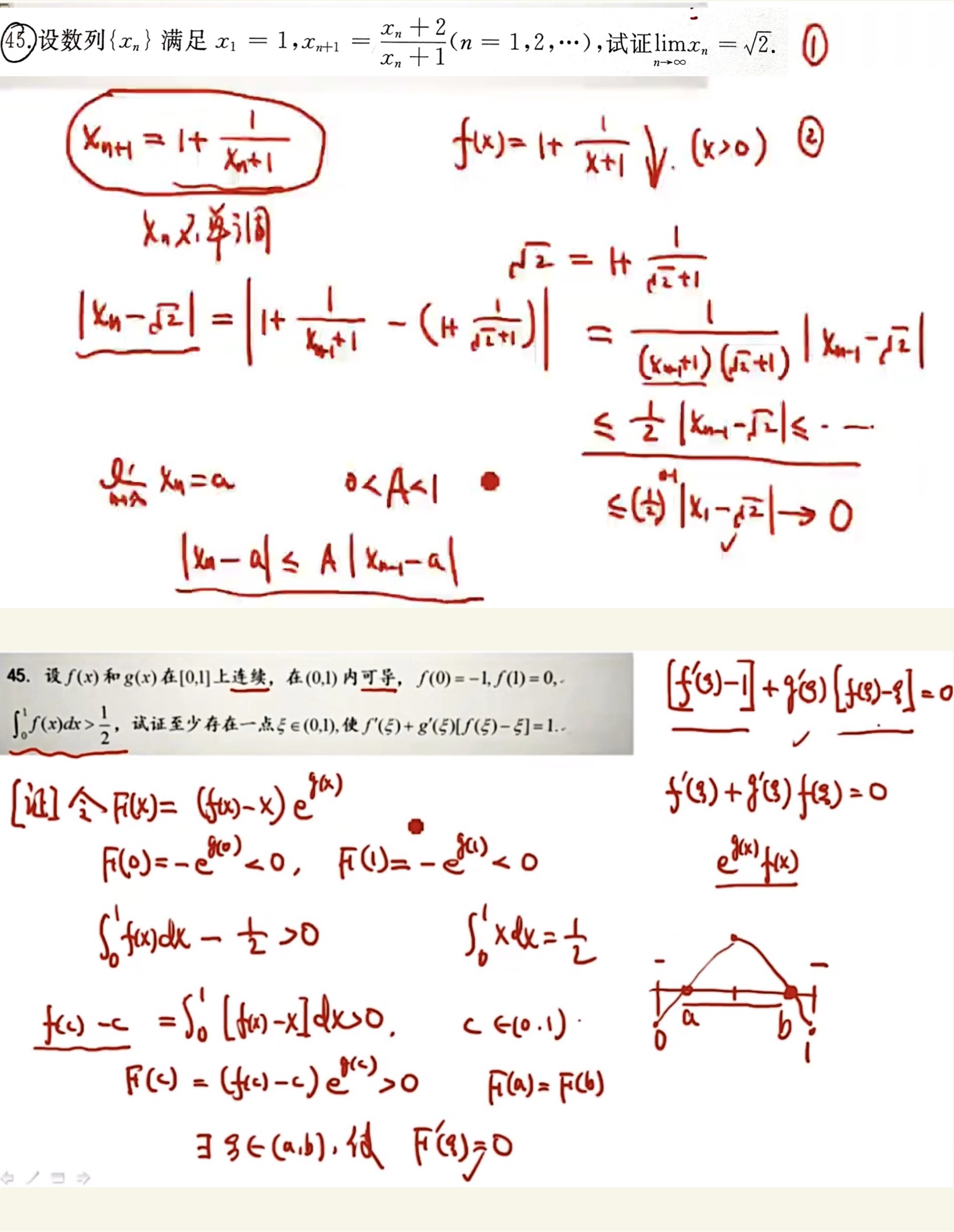
中值定理证明题
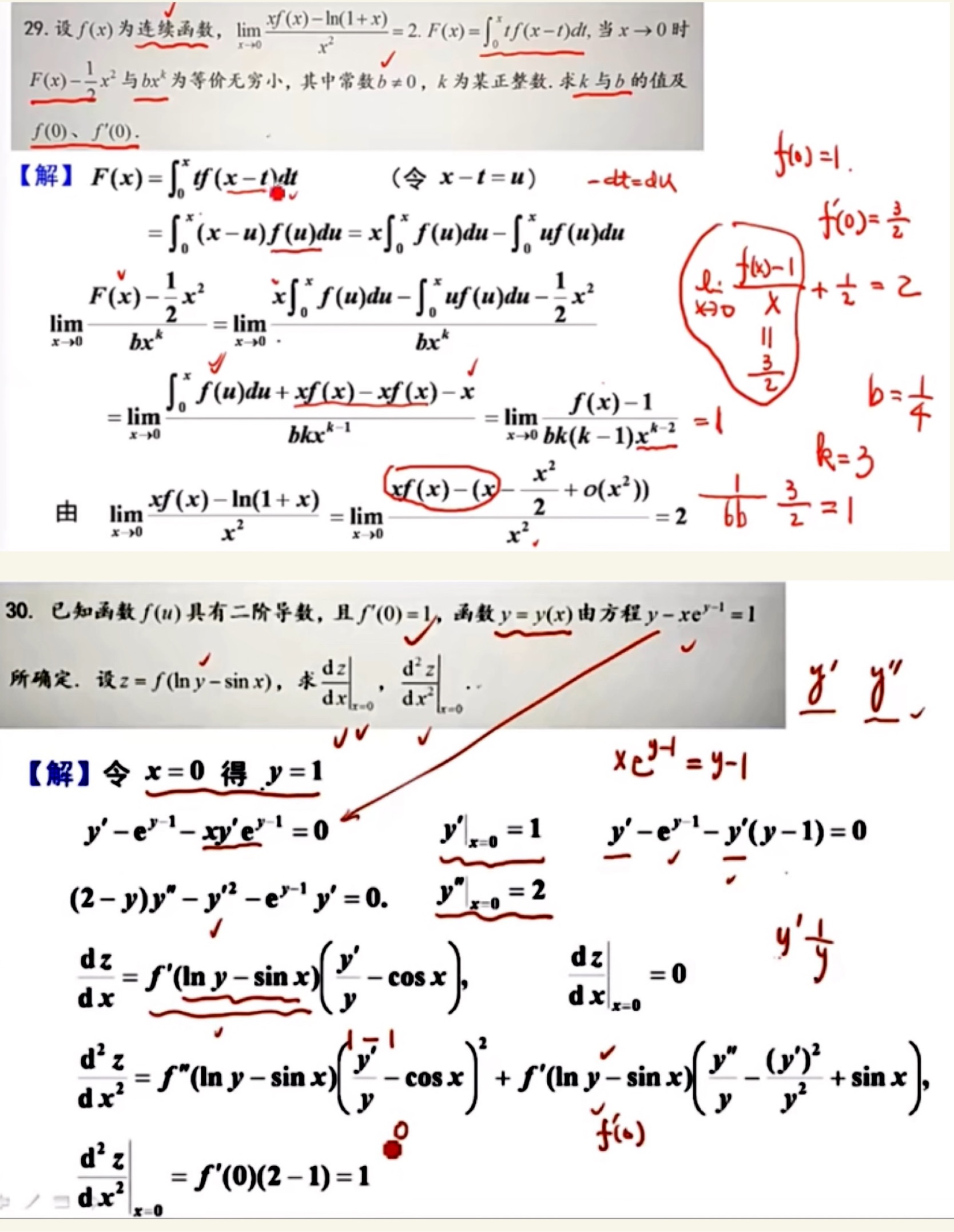
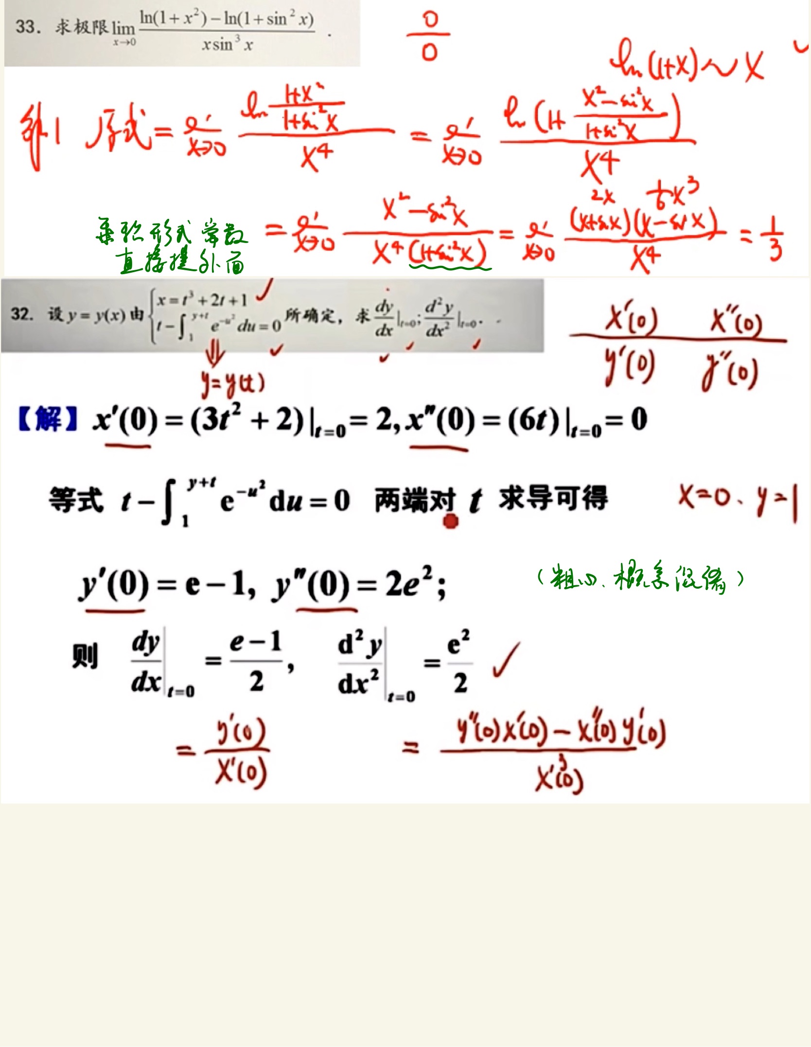
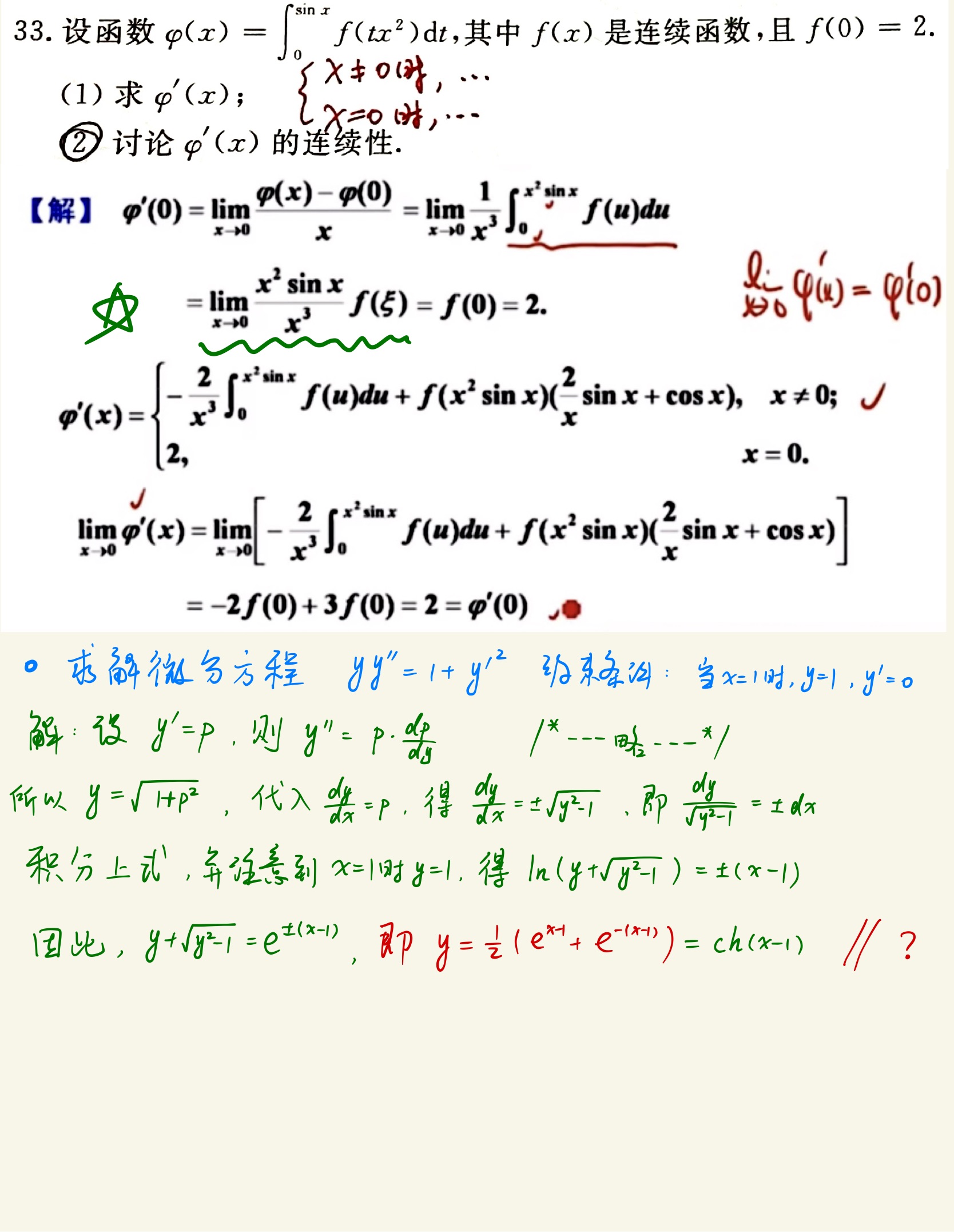
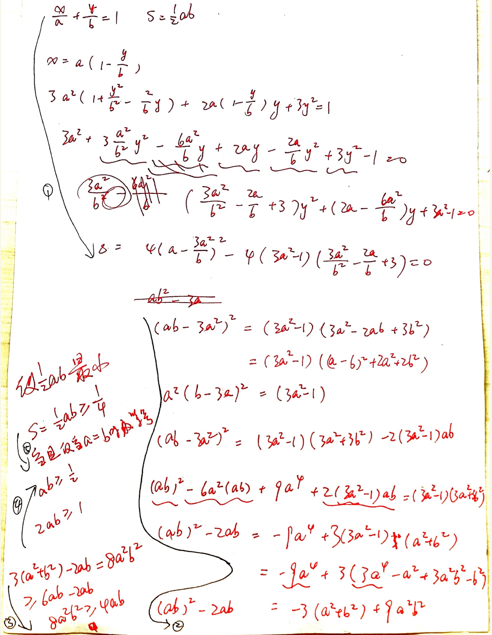
严选题
真题
数学的真实(:
网课
智慧的结晶(:
李林四 23
辛酸的挣扎(:
超越模拟题 23
绝望的洒脱(:
张宇八卷 24
苟延的残喘(:
李林六 24
临终的关怀(:
杂项试卷
棺的回响(:
李林四 24
内心的宁静(:
本博客所有文章除特别声明外,均采用 CC BY-NC-SA 4.0 许可协议。转载请注明来自 dropsong's!
评论





























































































